Diễn đàn Bảo hiểm xã hội trên mạng xã hội Facebook, Zalo, Linkedin

  • Trang chủ
  • Tra cứu BHXH, BHYT
    • BHXH TP Hà Nội
    • BHXH TP Hồ Chí Minh
    • BHXH TP Hải Phòng
    • BHXH TP Đà Nẵng
    • BHXH các tỉnh/TP
    • Tra cứu Mã số BHXH
    • Tra cứu Quá trình BHXH, giá trị thẻ BHYT
  • Danh mục
    • Danh sách BHXH toàn quốc
    • DM Cơ sở KCB Nội tỉnh và Ngoại tỉnh
    • DS Cơ sở y tế tạm Ngừng KCBBĐ BHYT
    • Lương cơ sở, TT vùng, Lương trần BHXH, BHTN
    • Bệnh dài ngày và H.dẫn Cấp thẻ BHYT
    • Tỷ giá USD, EUR đóng BHXH
    • Tỷ lệ đóng BHXH, BHYT, BHTN và TNLĐ-BNN
    • Lãi suất chậm đóng BHXH, BHYT
    • Diễn đàn BHXH và Đơn vị, Người lao động
  • Tin tức
    • Tin Bảo hiểm Xã hội
    • Tin Kinh tế - Xã hội
    • Tin nổi bật
  • Văn bản - Hỗ trợ
    • Văn bản BHXH, BHYT, BHTN
    • Văn bản liên quan khác
    • Download mẫu biểu, phần mềm
    • Văn bản tổng hợp
    • Bộ luật - Luật
    • Nghị định
    • Thông tư
    • Văn bản đã lưu trữ (hết hiệu lực)
  • Chuyên mục
    • Bảo hiểm xã hội
    • Bảo hiểm y tế
    • Bảo hiểm thất nghiệp
    • VssID - BHXH số
    • Hướng dẫn nghiệp vụ
    • Mẫu biểu
    • Câu hỏi thường gặp
    • Thủ thuật Word, Excel...
    • Tìm bài đã lưu trữ (hết hiệu lực)
    • Tổng hợp theo ABC
      • Bảo hiểm xã hội
      • Hướng dẫn

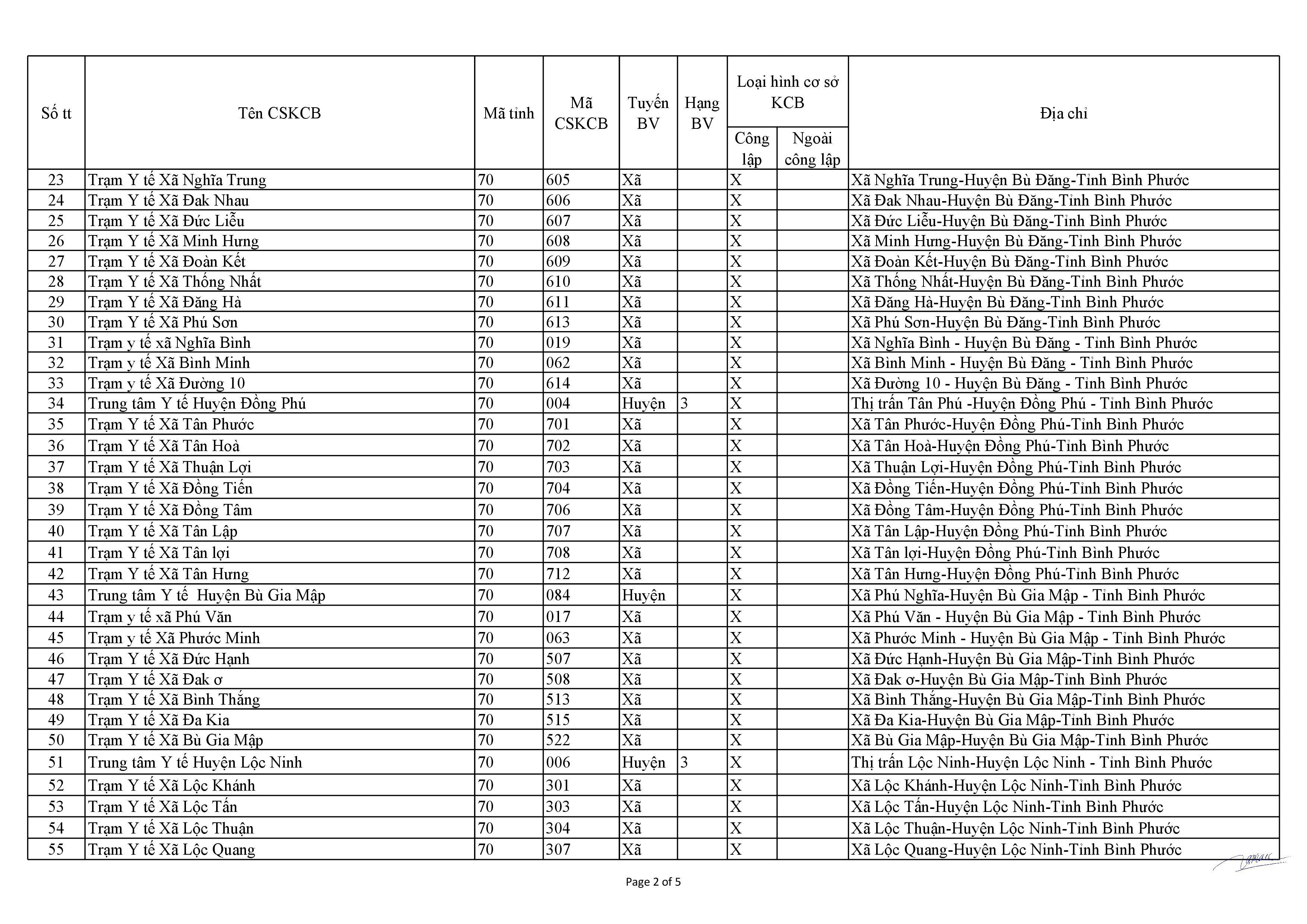
Bình Phước KCB Ngoại tỉnh năm 2020

KCB Ngoại tỉnh năm 2020

 

     

  • Lui
  • Tới

Tin mới nhất

  • Thủ tục và điều kiện hưởng thất nghiệp 2025 mới nhất
  • Quy trình Thu BHXH, BHYT, BHTN đầy đủ mới nhất từ 08/2023 theo 2525/VBHN-BHXH
  • Danh sách Bệnh viện KCB BHYT ban đầu trên Toàn quốc
  • Một số lưu ý quan trọng khi Tăng, Giảm, Điều chỉnh mức lương đóng BHXH, BHYT, BHTN
  • Thông báo Bệnh viện tràn thẻ tại Hà Nội tháng 04/2026
  • Người dân và NLĐ được đăng ký KCB ở BV Bưu Điện, Thanh Nhàn, Hà Đông...?
  • Hướng dẫn đăng ký KCB ban đầu năm 2026 của Sở Y tế Hà Nội cần lưu ý
  • Danh sách KCB BHYT Quý 2 năm 2026 tại TP Hồ Chí Minh
  • Danh mục mã QR thủ tục và quyền lợi về BHXH, BHYT
  • Thông báo Số tài khoản Thu và mã nộp tiền tại BHXH TP Hà Nội từ 03/2026
  • Thủ tục hưởng chế độ Tử tuất mới nhất 2025 Mẫu 09-HSB theo 2222/QĐ-BHXH
  • Quy định cấp và sử dụng sổ BHXH, thẻ BHYT điện tử từ 02/2026
  • BHXH TP Hà Nội hướng dẫn thực hiện theo lương Tối thiểu vùng 2026

Đọc nhiều nhất

  • Danh sách Bệnh viện và cơ sở KCB từ 04/2026 tại Hà Nội và các tỉnh, TP
  • Danh sách KCB BHYT Quý 2 năm 2026 tại TP Hồ Chí Minh
  • 1001 câu hỏi về VssID và cách sửa lỗi, sai thông tin
  • Hướng dẫn Tự bổ sung email lấy lại mật khẩu VssID trên Dịch vụ công khi quên mật khẩu
  • Danh sách Bệnh viện KCB BHYT ban đầu trên Toàn quốc

Văn bản mới

  • CV 2824/SYT-QLBHYTCNTT của Sở Y tế Hà Nội hướng dẫn KCB từ 04/2026
  • PHÁP LỆNH CỰU CHIẾN BINH số 27/2005/PL-UBTVQH11 của Ủy ban Thường vụ Quốc hội
  • Thông tư 09/2026/TT-BTC về cấp và sử dụng sổ BHXH điện tử từ 2026
  • CV 7879/SYT-QLBHYTCNTT Sở Y tế Hà Nội hướng dẫn KCB BHYT 2026
  • CV 2962/BHXH-QLT ngày 13/11/2025 BHXH Việt Nam về Xác nhận quá trình tại đơn vị
  • Nghị định 293/2025/NĐ-CP ngày 10/11/2025 về lương Tối thiểu vùng 2026
  • Danh mục xã, phường theo vùng lương Tối thiểu 2026 Nghị định 293/2025/NĐ-CP
  • Công văn số 1198/CTL&BHXH-BHXH ngày 05/9/2025 về căn cứ đóng BHXH
  • Hệ thống thang lương chuyển đổi theo Nghị định 26/CP ngày 23/05/1993
  • Thông tư số 25/2025/TT-BYT ngày 30/06/2025 của Bộ Y tế về KCB và bệnh dài ngày

Câu hỏi thường gặp

  • Một số lưu ý quan trọng khi Tăng, Giảm, Điều chỉnh mức lương đóng BHXH, BHYT, BHTN
  • Người dân và NLĐ được đăng ký KCB ở BV Bưu Điện, Thanh Nhàn, Hà Đông...?
  • Danh sách KCB BHYT Quý 2 năm 2026 tại TP Hồ Chí Minh
  • Danh sách KCB BHYT Quý I năm 2026 tại TP Hồ Chí Minh
  • Danh sách KCB BHYT Quý 2 năm 2026 tại TP Hồ Chí Minh
  • Danh mục mã QR thủ tục và quyền lợi về BHXH, BHYT
  • Hướng dẫn báo tăng đối với HĐLĐ không trọn thời gian
  • Tiền ăn trưa, hỗ trợ xăng xe, điện thoại, nhà ở có phải đóng BHXH không?
  • Địa chỉ, địa bàn quản lý của Bảo hiểm xã hội TP HỒ CHÍ MINH và Cơ sở từ 10/2025
  • Quy định mức tiền lương đóng BHXH, BHYT kể từ 01/07/2025

Tìm kiếm nhiều nhất

  • Bảo hiểm Xã hội Hà Đông (đã sáp nhập vào BHXH TP Hà Nội từ 04/2025)
  • Bảo hiểm xã hội cơ sở Cầu Giấy
  • Bảo hiểm xã hội cơ sở Đống Đa
  • Hệ thống mã cơ quan BHXH toàn quốc
  • Bảo hiểm Xã hội cơ sở Hoàng Mai
© 2026 Bản quyền thuộc về BlogBHXH. Ghi rõ nguồn khi phát hành lại nội dung từ website này!